首页
Home
关于我们
About Us
产品中心
Nav
技术服务
Nav
奖励与公益
Nav
新闻资讯
Nav
联系我们
Contact Us
关于莱科
企业文化
研发环境
荣誉资质
中药对照品
标准提取物
道地药材活性成分
对照药材
按植物来源分类
产品定制
分离纯化
结构鉴定
分析测试
论文发表奖励
订购产品福利
公益活动
本草百科
公司新闻
行业新闻
联系方式
付款方式
招贤纳士
淘宝链接
微信小店
搜索
The manufacturer and supplier of natural active ingredient extraction industry
源于大自然天然植物,以高新技术为基础,提供创新性的植物有效成分单体以及比例产品
更多
切源于自然草本植物精华,卓越品质,一流服务,服务人类生命健康!
更多
切源于自然草本植物精华,卓越品质,一流服务,服务人类生命健康!
更多
产品详细:
分享到:
上一个
下一个
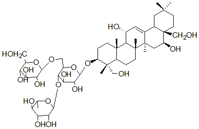
11(α)-羟基柴胡皂苷K
产品编号
:
LK01631-10mg
英文名称
:
11(α)-羟基柴胡皂苷K
CAS NO
:
1152168-63-2
分子式
:
C₄₈H₈₀O₁₉
分子量
:
961.14
马上咨询
产品详情
联系电话:
18107731009
邮箱:gllkbio@163.com
广西桂林
灵川县八里街开发区三号工业园八定路“标准厂房”4幢
QQ:3939273205
微信:18107731009
登录
记住我
(两周内免登录)
登录
注册>
其他账号登录:
◆
我的资料
◆
莱科客服专员
◆
留言
◆
查看手机网站
◆
回到顶部
◆